浏览数量: 32 作者: 本站编辑 发布时间: 2021-11-12 来源: 本站
2021年02月01日实施
1范围
本标准规定了高效空气过滤器和超高效空气过滤器(以下简称“过滤器”)的分类与标记、材料、结构与生产环境、技术要求、试验方法、检验规则、标志、包装、运输和贮存等。
本标准适用于常温条件下送风及排风净化系统和设备使用的过滤器。
2规范性引用文件
下列文件对于本文件的应用是必不可少的。凡是注日期的引用文件,仅注日期的版本适用于本文件。凡是不注日期的引用文件,其比较新版本(包括所有的修改单)适用于本文件。
GB/T 191包装储运图示标志.
GB/T 531.1硫化橡胶或热 塑性橡胶压 人硬度试验方法第1部分:邵氏硬度计法(邵尔硬度)
GB/T 3274碳素结构钢和低合金结构钢热轧钢板和钢带
GB/T 3280不锈钢冷轧钢板和钢带
GB/T 3880.1一般工业用铝及铝合金板、带材 第1部分:一般要求
GB/T 3880.2一 般工业用铝及铝合金板、带材第 2部分:力学性能
GB/T 4857.23包装运输包装件基本试验 第 23部分:随机振动试验方法
GB/T 6165高效空气过滤器性能试验方法效率和阻力
GB/T 6669软质泡沫聚合材料压缩变形的测定
GB 8624建筑材料及制品燃烧性能分级
GB/T 12914纸和纸板抗张强度的测定恒速拉伸法(20mm/min)
JG/T 404空气过滤器用滤料
3术语、定义和缩略语
3.1 术语和定义
GB/T 6165界定的以及下列术语和定义适用于本文件。
3.1.1高效空气过滤器high efficiency Particulate air filter; HEPA
用于空气过滤且使用GB/T6165规定的计数法进行试验,额定风量下未经消静电处理时的过滤效率及经消静电处理后的过滤效率均不低于99.95%的过滤器。
3.1.2超高效空气过滤器ultra low penetration air filter;ULPA
用于空气过滤且使用GB/T6165规定的计数法进行试验,额定风量下未经消静电处理时的过滤效率及经消静电处理后的过滤效率不低于99.999%的过滤器。
3.1.3效率efficiency
对过滤元件进行试验时,过滤元件过滤掉的气溶胶量与过滤前的气溶胶量之比。
3.1.4透过率penetration
对过滤元件进行试验时,过滤元件过滤后的气溶胶浓度与过滤前的气溶胶浓度之比。
3.1.5有隔板过滤器separator-style filter
按所需深度将滤料往返折叠制成滤芯,被折叠滤料之间以波纹状分隔板支撑,形成空气通道的过滤器。
3.1.6无隔板过滤器minipleat-style filter
按所需深度将滤料往返折叠制成滤芯,被折叠的滤料之间以线状黏结剂或其他分隔物支撑,形成空气通道的过滤器。
3.1.7额定风量rated air flowrate
标识过滤器工作能力的技术参数,表示保证过滤器效率的单位时间比较大空气体积流量。注:额定风量由过滤器生产厂家提供。
3.1.8阻力resistance
一定试验风速或风量条件下,过滤元件前后的静压差。对过滤器而言,为额定风量下过滤器前、后的静压差。
3.1.9初阻力initial resistance
过滤器在清洁及未经任何处理的初始状态下的阻力。
3.1.10试验终阻力final test resistance
按本标准所规定方法进行生命周期综合能效测试时,所确定的作为试验终止条件的过滤元件阻力。
3.1.11终阻力final resistance :
过滤器在使用过程中捕集粉尘达到相当量,应对过滤器进行更换时的规定阻力。
3.1.12综合阻力comprehensive average resistance
按本标准所规定方法进行生命周期综合能效测试时得到的过滤元件加权平均阻力。
3.1.13容尘量dust loading capacity
按本标准所规定方法进行生命周期综合能效测试时,受试过滤元件达到规定试验终阻力时的增重。
3.2缩略语
下列缩略语适用于本文件。
DEHS:癸二酸二辛酯
PaO:聚α烯烃
PSL:聚苯乙烯乳胶球
4分类与标记
4.1按结构分类
按过滤器滤芯结构可分为有隔板过滤器和无隔板过滤器,示意图见图1。

说明:
1、滤料;
2、分隔板;
3、框架;
4、分隔物;
H、高度;
W、宽度;
D、厚度。
图1有隔板过滤器和无隔板过滤器结构示意图
4.2 按效率级别分类
4.2.1高效空气过滤器
按GB/T 6165规定的方法检测过滤器过滤效率,高效空气过滤器可分为35、40、45三类。
4.2.2超高效空气过滤器
按GB/T 6165规定的计数法检测过滤器过滤效率,超高效空气过滤器可分为50、55、60、65、70、75六类。
4.3 标记
过滤器标记见图2,型号规格代号见表1。常用规格型号参见附录A。

图2过滤器标记

表1过滤器规格型号代号
示例1:有隔板高效空气过滤器,效率级别为40,效率试验方法为钠焰法,采用非扫描方法进行检漏试验,外形尺寸为484 mmX484 mmX220 mm,额定风量为1000 m3 /h,标记为;GY-40-N-484X 484 X 220-1000。
示例2:无隔板超高效空气过滤器,效率级别为65,效率试验方法为计数法,采用扫描方法进行检漏试验,外形尺寸为610 mmX1220 mmX 80 mm,额定风量为2400 m3 /h,标记为:CGW-65-J-S-610X1 220X 80-2400。
5材料、 结构与生产环境
5.1材料
5.1.1基本要求
过滤器防火性能应符合其应用环境的防火要求,所使用的材料应保持性能稳定、不产尘。当有耐腐蚀要求时,所使用的材料应具有相应的防腐性能。
5.1.2滤料
5.1.2.1滤料的透过率和阻力应符合本标准中同类过滤器滤料的性能要求。
5.1.2.2滤纸抗张强度测定应符合GB/T 12914的规定,其纵向抗张强度应不小于0.7 kN/m, 横向抗张强度应不小于0.5 kN/m。
5.1.2.3滤料 在(3.5±0.2)kPa压力下的厚度不宜超过0.40 mm,且应均匀无硬块,滤料表面不应有裂纹、擦伤、针孔和色斑等。
5.1.2.4滤料的释气性能应满足应用环境的特殊要求。
5.1.2.5滤料其他性能应符合 JG/T 404的相关规定。
5.1.3边框
5.1.3.1边框材料应具有满足要求的强度和刚度,材料厚度应根据材质和边长选定。
5.1.3.2当采用以下材料时,应符合相关标准要求,并应采取相应的防锈或防腐措施:
冷轧钢板应符合GB/T 3274的规定,厚度应为1.0 mm~2.0 mm,成型焊接后应镀锌、喷塑或采取其他防锈措施;
铝合金板应符合GB/T 3880.1和GB/T 3880.2的规定,厚度宜为1.5 mm~2.0 mm;
不锈钢板应符合GB/T 3280的规定,厚度应为1.0 mm~2.0 mm。
5.1.3.3当应用环境具有特殊要求时,应选用符合要求的其他材料。
5.1.4 分隔板与分隔物
有隔板过滤器的分隔板可采用铝箔等;无隔板过滤器的分隔物可采用玻璃纤维纸条等。分隔材料应符合相关标准的规定。
5.1.5黏结剂和密封胶
5.1.5.1黏结剂用于滤料的拼接、修补及密封垫与框架的粘接,其剪力强度和拉力强度应高于滤料的相应值。
5.1.5.2密封胶用于滤芯与框架的密封,应能在常温、常压下固化,且应保证过滤器在终阻力条件下运行时不开裂、不脱胶并具有弹性。
5.1.5.3黏结剂和密封胶的防火性能应满足应用环境的要求,其释气性能应满足应用环境的特殊要求。
5.1.6 密封垫
5.1.6.1密封垫应选用有弹性且不易老化的闭孔材料,其性能应满足GB/T 531.1的规定,用邵尔AO型硬度计测得的硬度应为28±5。
5.1.6.2按照 GB/T 6669的相关规定,密封垫压缩变形应不大于60%(60%,22 h,70 ℃)。
5.1.6.3密封垫的释气性能应能满足特殊应用环境的要求。
5.1.7防护网
防护网可采用不锈钢拉板网、冲孔板、点焊镀锌铁丝网、点焊不锈钢丝网和喷塑钢板网等。
5.2 结构
5.2.1滤芯
5.2.1.1有隔板过滤器滤芯
当滤芯固定在框架中时,分隔板应露出滤料褶痕3 mm~5 mm,且缩入框架端面5 mm~8 mm。
5.2.1.2无隔板过滤器滤芯
当滤芯固定在框架中时,滤料和分隔物应缩入框架端面3 mm~5 mm。
5.2.2边框
5.2.2.1边框结构应坚固,应有足够的刚性和整体稳定性。
5.2.2.2边框四角和拼接处不应松动,黏结剂和密封胶不应脱胶、开裂,滤料在边框中不应松动和变形。
5.2.2.3边框边宽应为15mm~20mm。对边长不小于600mm的过滤器,框架边框宽度宜为20 mm。
5.2.3密封垫
5.2.3.1密封垫断面应采用长方形(宽度宜大于15 mm且不应超出边框,厚度应为5 mm~8 mm)或半圆形(直径宜为15mm),长方形断面密封垫的粘接面和密封面应去皮。
5.2.3.2密封垫应整体或拼接成形,拼接应在拐角处,且宜采用Ω型或燕尾型连接方式,连接处应使用黏结剂粘接牢固。整个密封垫的拼接应不超过4处。
5.2.3.3密封垫与边框应粘接牢固,密封垫的内外边缘不应超过边框的内外边缘。
5.2.4液槽密封
对采用液槽密封方式的过滤器,所使用的非牛顿流体密封材料的性能应保证在工作温度下不流淌且柔韧。刀口高度应与液槽深度相匹配,刀口高度、液槽深度应根据过滤器使用时的面风速和过滤器终阻力确定。
5.2.5滤料拼接和修补
5.2.5.1每台有隔板高效空气过滤器的滤料拼接接头应不超过1个;超高效过滤器的滤料不应有拼接
5.2.5.2用搭接方式拼接两块滤料时,搭接宽度应不小于13 mm。
5.2.5.3搭接接口不应设置在滤料折叠的转弯处。
5.2.5.4每个修补面积宜不超过20mmX20mm,修补的总面积不应超过过滤器端面净面积的1%。
5.3生产环境
过滤器的生产环境条件应保证过滤器生产全过程(至装箱时)不受污染。高效空气过滤器组装车间室内的空气洁净度等级宜达到8级,超高效空气过滤器组装车间室内的空气洁净度等级宜达到7级。
6技术要求
6.1 外观
6.1.1过滤器表面不应有泥、油、黏性物等污染物和损伤,不应出现框架凹凸、扭曲或破裂;表面涂料层不应出现不均匀及剥落等损伤。
6.1.2滤料、分隔物、防护网应无变形,密封垫应无松脱。
6.1.3密封胶应齐整无裂纹,沿滤料和分隔板浸润高度应不大于5mm。
6.2 尺寸偏差
6.2.1边长大于 500 mm的过滤器,其端面尺寸偏差应为(0,-3.2) mm;边长不大于500 mm的过滤器,其端面尺寸偏差应为(0,-1.6) mm。
6.2.2过滤器深度尺寸的偏差应为(+1.6,0) mm
6.2.3当过滤器对角线长度大于700mm时,每个端面的两对角线之差的偏差应不大于4.5mm;当过滤器对角线长度不大于700 mm时,其偏差应不大于2.3 mm。
6.2.4框架端面应与侧面垂直,其垂直度偏差应不大于±3°。
6.2.5 过滤器端面及侧板平面度应不大于1.6 mm;两端面平行度偏差应不大于1.6 mm。
6.2.6有隔板过滤器滤芯的分隔板应平行于框架中心线,分隔板与中心线倾斜偏差应不大于6 mm,且不应发生突变性偏差。滤料的褶纹和分隔板应垂直于框架的上下端板,从任一褶或分隔板的一端引一铅垂线,该褶或分隔板另一端偏离铅垂线应不大于9 mm。褶纹和分隔板不应弯曲,从任一褶或分隔板两端连一直线,弯曲造成的偏离应不大于6mm。
6.2.7无隔板过滤器滤芯相邻褶幅高度偏差应不大于0.5mm。300mm内分隔物的直线度偏差应不大于1mm。分隔物应与褶痕垂直,每条分隔物形成的直线与褶痕垂直度偏差应不大于2mm;分隔物间距的偏差应不大于3mm。
6.3 检漏
6.3.1高效空气过滤器出厂应逐台进行检漏试验,不应有渗漏。
6.3.2超高效空气过滤器出厂应逐台采用扫描法进行检漏试验,不应有渗漏。
6.4 效率
过滤器效率应符合表2、表3的规定。

表2高效空气过滤器效率
表3超高效空气过滤器效率
6.5消静电
对于滤料荷电过滤器,应标称其经消静电处理后的过滤效率,实测值应不低于标称值的90%。
6.6阻力
过滤器额定风量下的初阻力应不大于标称值的105%。
6.7滤芯紧密度
置于滤芯上的木块位移应不大于3.2 mm。
6.8耐振动
过滤器经耐振动试验后,应符合6.1~6.5的规定。
6.9防火性能
当过滤器应用环境有防火性能要求时,过滤器整体防火性能应符合GB 8624中的相关规定。
6.10 生命周期容尘量及综合能效
需要时可进行高效过滤材料和过滤器容尘量、生命周期综合效率以及综合阻力试验,同型号过滤器.及高效过滤材料复验时,容尘量应不低于标称值的90%,综合平均效率值与标称值末位数的偏差不应大于5,综合平均阻力应不大于标称值的110%。
7试验方法
7.1外观
外观可采用目视检查。密封胶浸润高度应使用钢板尺检查,其分度值应不大于1 mm。
7.2 尺寸偏差.
7.2.1尺寸偏差检查应在稳固、平整的水平工作台上进行。
7.2.2长度应使用钢板尺检查,其分度值应不大于1 mm。
7.2.3平面度应使用平板和塞尺检查,平板准确度应为3级,塞尺厚度范围应为0.02mm~0.50mm。
7.2.4垂直度应使用角 度规检查,其分度值应不大于0.5°。
7.3检漏
7.3.1高效空气过滤器检漏试验可按附录B进行或参见附录C的规定,基准方法为附录B所规定方法。超高效空气过滤器检漏试验应使用附录B规定的计数扫描法。
7.3.2扫描检漏试验发现的局部渗漏缺陷可进行修复,应符合5.2.5的规定,在修补完成且密封胶充分固化后,应对过滤器再次进行检漏试验。
7.4 效率
7.4.1在效率试验前,应对过滤器在额定风量下进行空吹,直至过滤器自身散发颗粒物对效率试验的影响已消除。
7.4.2高效空气过滤器额定风量下的效率应按GB/T6165规定的方法测定。
7.4.3 超高效空气过滤 器额定风量下的效率应按GB/T 6165规定的计数法测定。
7.5消静电
消静电试验应按附录D规定的方法进行,消静电处理后,应按7.4的要求进行效率试验,效率试验方法应与过滤器出厂检验中标称的效率试验方法--致。
7.6 阻力
阻力试验应按GB/T 6165规定的方法进行。
7.7 滤芯紧密度
将组装好的过滤器端面向.上平放在平台上。将一块102 mmX152 mm的木块背面粘上一块与木块同面积、厚6.4 mm的闭孔海绵氯丁橡胶,粘橡胶的面放在过滤器滤芯的中心,使152 mm的一边与滤料褶痕平行。木块正面放-一个2.7 kg的重物,在木块侧面中心处施加(15.7±0.9)N的力,该力平行于过滤器端面且与滤料褶痕垂直。测量施力后木块由原来位置所产生的位移。
7.8耐振动
满足6.1~6.5要求的过滤器,应按GB/T 4857.23规定的方法进行耐振动试验。经耐振动试验后的过滤器应按6.1~6.5要求进行复检。
7.9 防火性能
防火性能试验应按GB8624规定的方法进行。
7.10生命周期容尘量及综合能效
生命周期容尘量及综合能效试验方法参见附录E。
8检验规则
8.1 检验分类
8.1.1 出厂检验
每台产品应进行出厂检验,出厂检验应按表4规定的项目进行。

表4过滤器检验项目
8.1.2型式检验
8.1.2.1过滤器有下列情况之一时,应进行型式检验:
a) 新产品或老产品转厂生产的试制定型鉴定;
b)产品结构、制造工艺和材料等的更改可能影响产品性能时;
c)产品停产超过一年后,恢复生产时;
d)出厂检验结果与上次型式检验有较大差异时;
e) 批量生产时,每两年应进行一次。
8.1.2.2型式检验应按表 4规定的项目进行。
8.1.2.3型式检验抽样 方法为:在制造厂提供的合格产品中抽取,同一批次不大于100台应抽3台、大于100台应抽5台。
8.2判定规则
8.2.1出厂检验
次项均不合格或主项中任意一项不合格应判定为不合格产品,否则应判定为合格产品。
8.2.2型式检验
次项均不合格或主项中任意一项不合格应判定为不合格产品,否则应判定为合格产品。
9标志、包装 、运输和贮存
9.1 标志
每台过滤器应在垂直于褶纹和隔板的外框表面明显处设有标志(标签或直接印刷体)。标志应牢固固定于过滤器的外框,应字迹清楚,不易擦洗掉,且应至少包括以下内容:
a) 制造商的名称及符号;
b) 过滤器型号、规格尺寸及出厂编号;
c)额定风量,以“ m3/h”表示;
d)额定风量下的效率或透过率,并注明其检测方法;
e)是否通过检漏实验;
f)额定风量下的初阻力,以“ Pa”表示;
g)指示气流方向 的箭头;
h) 产品出厂(检测)日期;
i)产品合格证。
9.2 包装
9.2.1产品包装应能在装卸、运输、搬运、存放,直到用户安装就位前免受因外力引起的损伤和毁坏。
9.2.2装箱前过滤器应装在塑料袋中,过滤器的气流方向截面应增加硬纸板保护,外包装箱可采用硬纸板。包装箱上应注明与所包装过滤器相一 致的型号规格、制造厂名以及数量,并应按GB/T 191的规定,用文字或标志标明“小心轻放”“怕湿”“向上”及堆码极限。
9.3 运输
9.3.1在运 输过程中,过滤器应按包装箱上的标志放置,堆放高度不应超过3层或采用托盘,不宜与其他货物混合运输。
9.3.2过滤器在运输中应采取固定措施,当固定物跨过箱体折角时,应将固定物与箱体隔开,保护好箱体。
9.3.3在装卸或搬运过程中,操作人员应采取稳妥措施,防止搬运过程中过滤器滑落。
9.4 贮存
9.4.1过滤器应存放在清洁干燥且通风良好的环境中,不应露天堆放。
9.4.2贮存时应用垫仓板把过滤器与地面隔开,防止过滤器受潮。
9.4.3过滤器应按箱体标志放置,堆放高度不应超过3层或采用托盘。
9.4.4 贮存超过3年以上的过滤器应重新进行出厂检验。
附录A
(资料性附录)
高效空气过滤器常用规格型号
A.1本附录给出了常见的过滤器规格尺寸及一般应用环境下的参考额定风量。
A.2部分应用行业规定过滤器使用面风速为0.45m/s,则使用风量可根据面风速及过滤器截面尺寸进行计算。
A.3有隔板过滤器常用规格见表 A.1。

表A.1有隔板过滤器常用规格表
A.4无隔板过滤器常用规格见表 A.2。

表A.2无隔板过滤器常用规格表
附录B
(规范性附录)
高效空气过滤器扫描检漏试验方法
B.1计数扫描法
B.1.1试验装置
B.1.1.1过滤器计数扫描法检漏试验台示意图见图B.1。

图B.1计数扫描法检漏试验台示意图
B.1.1.2试验台密封性、风量稳定性、上游采样截面风速不均匀性、浓度均匀性指标应符合GB/T 6165的相关规定。
B.1.2试验气溶胶
B.1.2.1试验方可根据实际需要选择液态油性气溶胶(如DEHS、PaO、石蜡油等)或固态气溶胶(如经充分干燥的PSL、NaCl.KCl气溶胶等)进行试验。试验气溶胶应无毒无害,符合环保及职业卫生规定。
B.1.2.2当 试验气溶胶及测试计数器分挡符合GB/T 6165的相关规定时,可通过扫描过程中过滤器下游累积计数计算受试过滤器的整体过滤效率。
B.1.2.3试验气溶胶稳定性应满足30 min内所试验粒径挡总粒子浓度波动不大于10% 的要求。
B.1.2.4试验过程中,试验气溶胶计数浓度应不大于1X107粒每立方厘米。
B.1.3试验仪器
B.1.3.1检漏试验可根据试验气溶胶的单分散特性选择凝结核计数器或光学粒子计数器进行。所使用仪器均应定期进行标定校准,标定周期及标定方法应符合国家相关标准及检定规程的规定。
B.1.3.2当使用光学粒子计数器进行检漏试验时,不应选择计数器的比较小粒径挡进行试验。
B.1.3.3当需要根据检漏试验结果计算受试过滤器整体过滤效率时,粒径挡的选择应符合GB/T6165的相关规定。
B.1.4扫描系统
B.1.4.1扫描检测方式
过滤器生产商可以选择自动扫描机构,也可以选择人工手动扫描的方式进行过滤器扫描检漏试验。当需要根据扫描检漏试验结果计算受试过滤器整体过滤效率以及对超高效空气过滤器进行扫描检漏试验时,应采用自动扫描检测方式。
B.1.4.2下游采样探头
B.1.4.2.1采样探头的开口面积应为 8 cm2~10 cm2 ,形状宜为正方形。当采用矩形探头时,边长之比应不超过15: 1。选取探头的采样流量时,应保证探头开口处流速与过滤器面风速相差不大于25%。
B.1.4.2.2探头开口方向 应平行于气流方向,探头距过滤器出风表面距离应为1 cm~5 cm。
B.1.4.3气溶胶输送管
气溶胶输送管沿途不应有死弯。管路材料应表面光滑,不应散发粒子。
B.1.4.4 扫描探头驱动控制
B.1.4.4.1扫描探头应以垂直于气流的方向匀速移动,探头的移动速度应不超过8cm/s。
B.1.4.4.2自动扫描机构的探头实际行走速度与设定值的偏离不应超过10%。自动扫描机构应可以对探头移动过程中的坐标及探测到的漏点进行定位和标记,探头机构在过滤器下游断面任-一点的回位.准确度宜不大于1 mm。
B.1.5隔离措施
受试过滤器的下游应与周围环境的污浊空气隔离,可在受试过滤器周边采用洁净空气作为保护壳气,或用围挡等作为隔离措施。
B.1.6试验步骤
B.1.6.1将受试过滤器安装于试验台上并确保密封。启动试验台风机,调整试验风量至受试过滤器额定风量。
B.1.6.2在受试过滤器上游气溶胶发生器未开启时,检查所使用光学粒子计数器是否可自净清零。
B.1.6.3在受试过滤器的上游引入试验气溶胶,在确认.上游气溶胶浓度稳定后进行上游气溶胶浓度Cu的测试。
B.1.6.4根据所使用的光学粒子计数器扫描探头的宽度,按式(B.1)确定扫描速度上限:

表B.1过滤器局部透过率允许限值

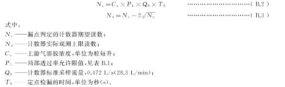
B.1.6.5手动或通过自动扫描机构驱动扫描探头以不超过扫描速度上限的速度对被测过滤器出风面及过滤器与安装框架连接处进行扫描检测。若上游试验气溶胶浓度足够大,使得Np不小于20粒时,扫描过程中任何导致计数器产生不小于Np的区域将被判定为漏点。当Np小于20粒时,扫描过程中任何导致计数器产生不小于Np的区域将被标记为“疑似漏点”,应将扫描探头固定放置于疑似漏点处一定时间(如不少于20 s)进行定点检漏试验。定点检漏过程漏点判定的计数器期望读数、定点试验时间以及实际观测上限值应分别按式(B.2)和式(B.3)确定:

B.2光度计扫描法
B.2.1试验装置
适用于光度计扫描法的试验装置应符合B.1.1 的规定。
B.2.2试验气溶胶
试验气溶胶应为一个或多个拉斯金(Laskin)喷嘴所发生的油性气溶胶物质(如PAO、DEHS等)。Laskin喷嘴工作压力应为133 kPa,所发生气溶胶的质量中值直径应为0.7 μm,几何标准差不应大于1.80。
B.2.3试验步骤
B.2.3.1将受试过滤器安装于试验台上并确保密封。启动试验台风机,调整试验风量至受试过滤器额定风量。
B.2.3.2启动气溶胶发生器,调整发生器喷嘴工作数量等参数,调整上游气溶胶浓度至10 mg/m3~20 mg/m3 ,使用气溶胶光度计测量上游浓度,并将其设定为光度计满量程。
B.2.3.3使光度计吸人洁净无尘空气,设定零点。
B.2.3.4将光度计切换至下游采样,使用扫描探头在距受试过滤器出风侧表面1 cm~5 cm处进行扫描检漏试验。
B.2.3.5扫描过程中,正方形扫描探头的扫描速度应不大于5 cm/s,矩形扫描探头的面积扫描速度应不大于15.5 cm2/s。
B.2.3.6除试验双方另有约定外,局部透过率超过0.01%的区域判定为渗漏缺陷。
B.3检测报告
检测报告的内容应至少包括以下内容:
a)受试过滤器信息 :规格型号、级别、出厂编号或其他唯-性标识、尺寸、额定风量;
b)试验气溶胶名称;
c)试验仪器:规格型号、出厂编号或其他标识;
d)采样探头:探头形状及尺寸、探头移动速度等;
e)试验条件:试验空气的温度及相对湿度;
f).上游气溶胶浓度及局部渗漏缺陷判定限值;
g)试验结果是否合格的综合判定结论;
h)过滤器修补情况说明
附录C
(资料性附录)
高效空气过滤器其他检漏试验方法
C.1烟缕试验
C.1.1将过滤器水平放在风口上,四周密封,用气溶胶发生器发生质量平均直径为0.3 μm~1.0 μm、质量浓度宜为1.5 g/m3的气溶胶烟雾。使含气溶胶的气流以1.3 cm/s的速度向上流过被试过滤器。
C.1.2 用灯光垂直照射过滤器出风面,过滤器四周及观察背景是黑暗的,且屏蔽掉过滤器周围的干扰气流。
C.1.3观察出风面,若出现烟缕则判定有渗漏,看不到烟缕则判定无渗漏。
C.2双风量效率试验
C.2.1对于圆简型、W型等不适宜进行扫描检漏试验的特殊形状过滤器,可采用双风量效率试验判断过滤器是否存在局部渗漏缺陷。
C.2.2将受试过滤 器安装于符合GB/T 6165规定的试验台上,按GB/T 6165的规定分别进行100%额定风量及20%额定风量下的过滤效率试验。
C.2.3若受试过滤器在20%额定风量与100%额定风量下的透过率之比小于0.1,则判定受试过滤器.存在局部渗漏缺陷。
附录D
(规范性附录)
高效空气过滤器消静电试验方法
D.1试验原理
本附录规定了采用异丙醇饱和蒸气对滤料荷电的过滤器进行静电消除处理的试验装置和试验方法。
D.2消静电材料
D.2.1采用异丙醇饱和蒸气对滤料所附加静电荷进行消除和中和处理。
D.2.2使 用纯度不低于99.5%的异丙醇溶液在静电消除柜内自然挥发,产生异丙醇饱和蒸气。
D.3静电消除柜
D.3.1静电消除柜应采用不锈钢或镀锌钢板制作。
D.3.2静电消除柜包含 1个过滤器舱、1个或2个异丙醇托盘存放舱,每个舱室应设独立的门。过滤器舱与异丙醇托盘存放舱间之应有气流通道,以方便空气与异丙醇饱和蒸气在整个静电消除柜空间内保持均衡。
D.3.3 静电消除柜的过滤器舱应可安装比较大尺寸为610 mmX610 mmX292 mm的过滤器,过滤器不应接触静电消除柜的内表面。
D.3.4静 电消除柜内异丙醇托盘总自由蒸发面积应不小于1.0 m2
D.3.5为了防止异丙醇饱和蒸气泄漏对人员和环境造成影响,静电消除柜气密性应满足如下条件:在+200 Pa压力下,静电消除柜1 min内压力的衰减应不大于30 Pa。
D.4试验条件
D.4.1静电消除柜所在房间温度应控制在(25±5)°C,相对湿度应控制在(40±20)%。
D.4.2过滤器恒重气象条件及试验用空气的温度应控制在(23±5)°C,相对湿度应控制在(45±10)%。
D.5试验方法
D.5.1受试空气过滤 器在试验空气中应至少放置30 min, 而后称重,精确至1 g。按GB/T 6165规定的方法测试未消静电时初始状态的过滤效率和阻力,效率试验方法应与过滤器标称的出厂效率试验方法一致。
D.5.2向异丙醇托盘注 人浓度不低于99.5%的异丙醇溶液,并对每个托盘进行称重,精确至1 g。D.5.3将装有异丙醇溶液的托盘放于静电消除柜内,关闭柜门并等待30min。
D.5.4打开 静电消除柜过滤器舱舱门,迅速放人受试空气过滤器,然后关紧柜门。
D.5.5开 始消静电试验,将受试过滤器暴露于异丙醇饱和蒸气和空气混合气体中24 h。试验期间应每隔1h记录房间内的温湿度。
D.5.6达到 消静电时间后,打开柜门并迅速取出受试过滤器,然后关紧柜门;取出异丙醇托盘并进行称重,以确定异丙醇溶液蒸发量。
D.5.7将受试过滤 器在试验空气中平衡至少30 min,并进行称重,按GB/T 6165规定的方法测试过滤效率和阻力,效率试验方法应与过滤器标称的出厂效率试验方法一致;用干燥洁净空气空吹受试空气过滤器10 min后,再次测试过滤效率。两次过滤效率尾数差异大于5时,应再次重复D.5.2~D.5.6进行24 h消静电试验,直至2次过滤效率尾数差异小于5。
D.5.8若出现以下情况,应采用新的过滤器重新进行消静电试验:
a) 消静电前后,受试过滤器质量改变超过±1%或超过±20 g;
b)消静电前后,受试过滤 器阻力改变超过±10%或超过10 Pa。
D.6试验报告
试验报告中应至少包括下列消静电试验条件以及试验数据信息:
a)消静电试验过程中的室内温度、相对湿度;
b)异丙醇溶液纯度;
c)消静电试验的时间;
d)静电消除柜基本信息,包括照片和示意图,示意图应包含主要尺寸、容积、异丙醇托盘数量和尺寸、蒸发面积、异丙醇溶液添加量;
e)消静电试验前后,受试过滤器的质量及异丙醇溶液的蒸发量;
f)消静电试验前后,受试过滤器在额定风量下的阻力;
g)消静电试验前后,受试过滤器在额定风量下的效率。
附录F
(资料性附录)
高效空气过滤元件生命周期综合能效试验方法
E.1试验原理
本附录针对滤料和过滤器,通过发生高浓度、粒径分布特征尽可能接近实际的固体气溶胶,采用实验手段模拟加速过滤元件在实际使用过程中的积尘过程,通过监测积尘过程中的效率及阻力变化,对被测样品在实际使用过程中的综合能效表现进行预估。
本附录所规定试验方法仅用于对规定试验条件下的过滤元件生命周期综合能效进行评价。
E.2过滤材料试验方法
E.2.1试验装置
E.2.1.1试验装 置符合GB/T 6165的相关规定。
E.2.1.2用于 试验样品容尘过程称重的天平分度值至少为0.000 1 g。
E.2.2试验尘源
采用干燥后的固体KCl、NaCl粉尘或粒径分布等性能满足本标准要求的粉尘作为试验尘源。试验粉尘充分干燥,必要时进行电荷中和处理。试验粉尘计数中值直径(计数峰值粒径)处于75 nm~125 nm范围内,几何标准偏差不大于1.90。试验过程中的试验粉尘质量浓度保持在10 mg/m3 ~20mg/m3范围内。
E.2.3试验方法
E.2.3.1试验样品
试验样品无折痕、褶皱、孔洞或其他异常。试验样品的比较小尺寸为200 mmX200 mm,试验尺寸为.100cm2。所有试验样品均有下述清晰且持久性的标记:
a)试验样品的标识;
b)试验样品的上游面。
E.2.3.2试验滤速
试验滤速根据所制作过滤器的实际滤速选择,宜为2.50cm/s或5.33cm/s。
E.2.3.3试验终阻力
除试验双方另有约定外,对于初始状态下阻力不大于150 Pa的滤料,试验终阻力为300 Pa;对于初始状态下阻力为150 Pa~250 Pa的滤料,试验终阻力为500 Pa。
E.2.3.4试验步骤
试验步骤如下:
a) 将试验样品在试验空气温、湿度条件下恒重后称量,精确至0.000 1 g。
b)测量试验样品初始状态下的阻力及效率,试验方法符合GB/T 6165的相关规定。
c)维持喷雾器压力及空气流量恒定,保持稳定的发尘浓度发生试验粉尘。
d)间 隔固定时间测试试验样品的效率、阻力以及质量。其中,效率及阻力的测试符合GB/T 6165的相关规定,质量测试精确至0.0001g。当试验粉尘质量浓度为10mg/m3时,采样时间间隔不大于20min;当试验粉尘质量浓度为20mg/m3时,采样时间间隔不大于10min。重复此操作直至滤料试验终阻力。试验样品的阻力-容尘量和效率-容尘量曲线至少为5个均匀分布数据点所构成的平滑曲线。
e)喷雾发尘至滤料试验终阻力时,测量试验样品的效率、阻力以及质量,此时试验样品总的增重即为试验容尘量。
E.2.4试验结果.
E.2.4.1试验报告至少包括如下信息:
a) 试验样品级别、样品尺寸及试验区域尺寸、编号。
b) 试验风速、试验空气温、湿度。
c)试验气溶胶的种类和试验浓度。
d)初始状态下的阻力、效率和质量。
e)试验过程时间、容尘量。
f)试验过程中试验样品所呈现的比较低过滤效率。
E.2.4.2试验报告给出试验过程中试验样品的阻力和效率随容尘量变化的关系曲线。
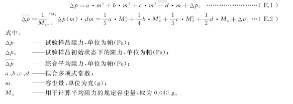
E.2.4.3阻力-容尘量曲线和综合平均阻力按式(E.1)和式(E.2)进行拟合和计算:

E.2.4.4效率-容尘 量曲线和综合平均效率按式(E.3)和式(E.4)进行拟合和计算:

E.3 过滤器试验方法
E.3. 1试验装置
E.3.1.1试验装置符合 GB/T 6165的相关规定。
E.3.1.2用于试验样 品容尘过程称重的天平分度值至少为0.1 g。
E.3.2试验尘源
采用干燥后的固体KCl粉尘或粒径分布等性能满足本标准要求的粉尘作为试验尘源。试验粉尘充分干燥,必要时进行电荷中和处理。试验粉尘计数中值直径(计数峰值粒径)处于75 nm~125 nm范围内,几何标准偏差不大于1.90。试验过程中的试验粉尘质量浓度保持在5 mg/m3~15 mg/m3范围内。
E.3.3试验方法
E.3.3.1试验样品
试验样品表面完好,不存在目测可见的污损及破损;有清晰的标志,且符合9.1的规定。
E.3.3.2试验风量
试验样品在其标称额定风量下进行试验。
E.3.3.3试验终阻力
对于初始状态下阻力小于80 Pa的过滤器,试验终阻力为160 Pa;对于初始状态下阻力为80 Pa~150Pa的过滤器,试验终阻力为300Pa;对于初始状态下阻力为150Pa~250Pa的过滤器,试验终阻力为500 Pa。
E.3.3.4试验步骤
试验步骤如下:
a)将试验样品在试验空气温湿度条件下恒重后称量,精确至0.1 g。
b)测量试验样品初始状态下的阻力及效率,试验方法符合GB/T6165的相关规定。
c)维持喷雾器压力及空气流量恒定,保持稳定的发尘浓度发生试验粉尘。
d)间隔固定时间测试试验样品的效率、阻力以及质量。其中,效率及阻力的测试符合GB/T6165的相关规定,质量测试精确至0.1g。采样时间间隔不大于60 min。重复此操作直至过滤器试验终阻力。试验样品的阻力容尘量和效率-容尘量曲线至少为5个均匀分布数据点所构成的平滑曲线。
e)喷雾发尘至过滤器试验终阻力时,测量被测样品的阻力效率以及质量,此时被测样品总的增重即为试验容尘量。
E.3.4试验结果及评价
E.3.4.1试验报告至少包括以下内容:
a) 被测样品级别、样品尺寸、额定风量及编号;
b) 试验风量、试验空气温、湿度;
c)试验气溶胶的种类和试验浓度;
d)初始状态下的阻力、效率和质量;
e)试验过程中时间、容尘量和试验终阻力;
f)试验过程中试验样品所呈现的比较低过滤效率。
E.3.4.2试验报告给出试验过程中被测样品的阻力以及效率随容尘量变化的关系曲线。
E.3.4.3阻力容尘量曲线和综合 平均阻力按式(E.1)和式(E.2)进行拟合和计算,效率-容尘量曲线和综合平均效率按式(E.3)和式(E.4)进行拟合和计算。其中,用于计算平均阻力的规定容尘量(Mx)为50 g。
免责声明:以上内容源于网络,版权归原作者所有,如涉及作品版权问题,请您告知我们将及时处理!
新力环境科技(山东)有限公司(简称:山东新力/新力环境),起源于 2010 年,致力于空气净化行业的发展,是集研发、设计、生产、销售为一体的空气净化产品专业服务商,注册品牌为“SNYLI”,主营业务:FFU、各级空气过滤器、液槽过滤器、化学过滤器、卷绕式过滤器、送风口、层流罩、风淋室、传递窗、净化棚、提供室内空气品质控制解决方案、提供空气品质控制类设备 OEM 等。山东新力拥有先进的理念和技术,专业设计团队,满足客户需求。欢迎来电咨询,我们将第一时间接听您的来电!400-688-3551/13165316200(微信同号)