新力环境科技(山东)有限公司

服务热线:131-6531-6200
首页 » 新闻中心 » 行业资讯 » 行业篇||洁净室的洁净度如何计算?

行业篇||洁净室的洁净度如何计算?

浏览数量: 16     作者: 本站编辑     发布时间: 2022-05-27      来源: 本站

["wechat","weibo","qzone","douban","email"]

洁净室

洁净室洁净度的计算按均匀分布理论计算,不均匀分布理论计算两种方式。

1.均匀分布理论计算

设洁净室系统的基本图示,如图所示:




洁净室系统

系统假设:

A.认为室内含尘浓度是均匀分布的

B.设通风稳定

C.发尘量是常数

D.大气层浓度也是常数

E.忽略室内外灰尘的密度和分散度的变化对过滤器效率的影响

F.忽略灰尘在管路系统和室内的沉降作用等

则通路上过滤器的总效率为:

过滤器的总效率

根据上述图示和一系列假设,进入洁净室内的尘粒应由3部分组成:

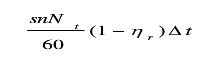
A.新风带进室内的尘粒:在△t时间内每升空气由新风而增加的尘粒数量为:

尘粒数量

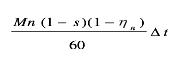
B.由回风带进室内的尘粒:在△t时间内,由回风而增加的尘粒数为:

增加的尘粒数

C.在△t时间内:室内发尘而使室内每升空气增加的尘粒数量为G*10-3 △t(Pc/L);在△t时间内室内每升空气由通风换气排出的尘粒数量为:

通风换气排出的尘粒数量

由以上分析可知,在△t时间内洁净室内含尘浓度的变化为:△Nt=进入的含尘浓度-排出的含尘浓度为:

含尘浓度

根据初始条件,当t=0时,室内的含尘浓度即为洁净室原始含尘浓度N0,将此条件带入上式即可求出积分常数C,之后再带回原式即可求得洁净室含尘浓度瞬间式为:

图片40

应用此式时,需要注意系统中哪些过滤器组合效率是ηn,哪些是ηr,就可以较方便的列出某一系统的稳定式。

单向流洁净室含尘浓度计算问题:

单向流洁净室内人的发尘可以不考虑;

回风带入的尘粒也可忽略。


多室、有局部净化设备时的含尘浓度计算

A.多室含尘浓度计算。

如图,设第壹洁净室的含尘浓度N1=3 pc/L,第二洁净室N2=3000pc/L。

图片41

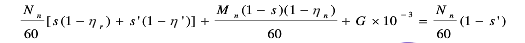
一般多室系统总回风的含尘浓度不会超过该系统最脏的1个洁净室的含尘浓度,就本图而言,则不会超过N2=3000pc/L。若假定3000pc/L就是总回风含尘浓度,即比N1提高1000倍。所以对于多室系统的1室来说,极端情况相当于在回风含尘浓度提出1000倍条件下的单室系统的运行。其含尘浓度平衡方程式为:

图片42

由于回风通路上设有高校过滤器,对于不小于0.5um尘粒的效率达ηr=99.999%,即:

图片53

式中,N:单室系统时的含尘浓度。

上述分析推导说明,对于末级过滤器的空气净化系统,不管多室还是单室,均可按单室的稳定式求多室各室的稳定含尘浓度。www.iwuchen.com

B.有局部净化设备时的含尘浓度计算。

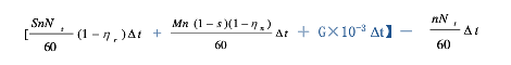
列出稳定状态时的浓度平衡方程式:

图片43

图片44

2.不均匀分布理论计算法

设发尘量是均匀的、稳定的,只是尘粒分布不均匀,即室内区域的浓度差。下面将针对单个送风口的房间的3区不均匀分布模型给予理论分析,如右图所示。

图片45

下表列出了室内尘粒分布的不均匀性和区域间浓度比变化。

工作区浓度和回风浓度的比率:

图片46

图片47

图片48

洁净室含尘浓度N-n通式的物理意义是:

N=Nr (60G*10-3)/n部分即为尘粒均匀分布条件下的含尘浓度。剩余部分令其为不均匀系数ψ。

图片49

由上式可以看出,按不均匀分布理论计算的含尘浓度等于按均匀分布理论计算的含尘浓度乘以不均匀系数。


若已知洁净室要求达到的含尘浓度,而求换气次数nv.

图片50

b.不均匀分布系数ψ的确定

Ψ=(β,φ,vb/v)


β=主流区发尘量与总发尘量之比。

Φ值的确定,对侧送封口:

图片51

vb/v:对于单向流洁净室,过滤器满布时,vb/v=0.02;

满布比为60%时,取vb/v=0.06;

满布比为40%时,取vb/v=0.12;

对侧送风口,取vb/v=0.5-0.7。


根据换气次数可查Ψ(顶送风口)

图片52

免责声明:以上内容源于网络,版权归原作者所有,如涉及作品版权问题,请您告知我们将及时处理!



新力环境科技(山东)有限公司(简称:山东新力/新力环境),起源于 2010 年,致力于空气净化行业的发展,是集研发、设计、生产、销售为一体的空气净化产品专业服务商,注册品牌为“SNYLI”,主营业务:FFU、各级空气过滤器、液槽过滤器、化学过滤器、卷绕式过滤器、送风口、层流罩、风淋室、传递窗、净化棚、提供室内空气品质控制解决方案、提供空气品质控制类设备 OEM 等。山东新力拥有先进的理念和技术,专业设计团队,满足客户需求。欢迎来电咨询,我们将第一时间接听您的来电!400-688-3551/13165316200(微信同号)


首页
网       址:www.snyli.com     手       机:13165316200
服务热线:131-6531-6200      邮       箱:sales@snyli.com
1688商铺:https://shop5161528w7n1u1.1688.com

地 址:山东省济南市高新区齐盛广场1号楼907室
厂 址:山东省聊城市经济开发区黑龙江路16号
留言
在线咨询
Copyrigh ©2019  【新力环境科技(山东)有限公司】  All Rights Reserved. 鲁ICP备16035622号-1    技术支持:易启徕