浏览数量: 15 作者: 本站编辑 发布时间: 2022-08-31 来源: 本站
行业篇||洁净室洁净度的计算
洁净室洁净度的计算按均匀分布理论计算,不均匀分布理论计算两种方式。1,均匀分布理论计算设洁净室系统的基本图示,如图所示:
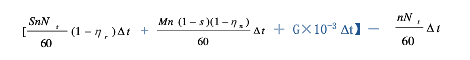
系统假设:A.认为室内含尘浓度是均匀分布的B.设通风稳定C.发尘量是常数D.大气层浓度也是常数E.忽略室内外灰尘的密度和分散度的变化对过滤器效率的影响F.忽略灰尘在管路系统和室内的沉降作用等则通路上过滤器的总效率为
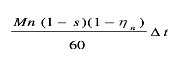
根据上述图示和一系列假设,进入洁净室内的尘粒应由3部分组成:A.新风带进室内的尘粒:在△t时间内每升空气由新风而增加的尘粒数量为:
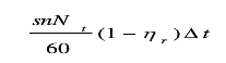
C.在△t时间内:室内发尘而使室内每升空气增加的尘粒数量为G*10-3 △t(Pc/L);在△t时间内室内每升空气由通风换气排出的尘粒数量为:
根据初始条件,当t=0时,室内的含尘浓度即为洁净室原始含尘浓度N0,将此条件带入上式即可求出积分常数C,之后再带回原式即可求得洁净室含尘浓度瞬间式为:
新力环境科技(山东)有限公司(简称:山东新力/新力环境),起源于 2010 年,致力于空气净化行业的发展,是集研发、设计、生产、销售为一体的空气净化产品专业服务商,注册品牌为“SNYLI”,主营业务:FFU、各级空气过滤器、液槽过滤器、化学过滤器、卷绕式过滤器、送风口、层流罩、风淋室、传递窗、净化棚、提供室内空气品质控制解决方案、提供空气品质控制类设备 OEM 等。山东新力拥有先进的理念和技术,专业设计团队,满足客户需求。欢迎来电咨询,我们将第一时间接听您的来电!400-688-3551/13165316200(微信同号)
免责声明:以上部分内容源于网络,仅供学习交流,版权归原作者所有,如涉及作品版权问题,请您告知我们将及时处理!